A 62-year-old man with a history of coronary artery bypass graft surgery 10 years before presentation, an occluded saphenous vein graft to the right coronary artery (RCA), and medically refractory angina was referred for interventional evaluation. He reported that in addition to chronic angina, he had experienced a loss of energy during the previous year; his wife reported that he now spends most of his day at home watching television. Myocardial perfusion imaging showed reversible ischemia in the RCA territory, and the coronary angiogram showed a calcified, tortuous, 50-mm-long chronic total occlusion (CTO) of the RCA. This is the prototypical patient who can benefit from CTO percutaneous coronary intervention (PCI).

THE BENEFIT OF CTO PCI

Historically, barriers to the adoption of CTO PCI, have included technical difficulty and a lack of dedicated expertise, risk of procedural complications, and limited resources. However, at several centers around the world, technical developments have revolutionized CTO PCI in the last decade, offering patients revascularization opportunities that were previously unattainable. Concurrently, there is a growing body of evidence showing that CTO recanalization could provide several benefits, such as symptom improvement (resulting in a decreased need for medications and improved quality of life), improvement in left ventricular systolic function in selected patients with ischemic myocardial dysfunction, possibly improved long-term survival likely related to the achievement of complete revascularization and better tolerance of subsequent ischemic events, reduced arrhythmia burden, and reduced long-term health care costs after the adjustment for quality of life.1,2

Benefit One: Improved Quality of Life

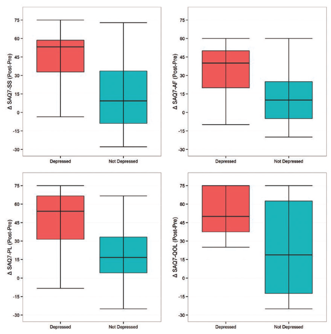
Figure 1. The change in Seattle Angina Questionnaire Short Form 7 (SAQ-7) scores between baseline and 30 days after CTO PCI. The 30-day change in scores was statistically significant (P < .01) for all subscales. AF, angina frequency; PL, physical limitation; QOL, quality of life; SS, summary scale. Reproduced from Bruckel JT, Jaffer FA, O’Brien C, et al. Angina severity, depression, and response to percutaneous revascularization in patients with chronic total occlusion of coronary arteries. J Invasive Cardiol. 2016;28:44–51.

For patients with medically refractory angina due to a CTO, CTO PCI can restore quality of life and reduce or obviate the need for antianginal medications. Meta-analyses have shown that successful versus failed CTO PCI is associated with less residual angina.3,4 Rossello et al studied quality of life and functional status after CTO PCI and found that patients with successful recanalization had improved global physical health, improved mental health, improved exercise tolerance, and smaller ischemic burden.5 Bruckel et al demonstrated that a large proportion of patients with CTOs have undiagnosed major depression, and that these are the patients who benefit the most from successful CTO PCI through the reduction of angina (Figure 1).6 Although quality-of-life measures are sometimes considered “soft endpoints,” they are often the most direct and important benefits to patients. The ongoing EURO-CTO and DECISION-CTO trials are examining the effect of CTO PCI on quality of life, as compared with optimal medical therapy, and will provide novel insights into the outcomes of CTO PCI.

Benefit Two: Improved Myocardial Function

Figure 2. Left ventricular function at 4-month follow-up in STEMI patients undergoing CTO PCI versus no CTO PCI. There was no difference in left ventricular ejection fraction or left ventricular end diastolic volume between the two groups, although a subanalysis suggested improvement in left ventricular function after CTO PCI of the left anterior descending coronary artery. Reprinted from The Lancet, 68, Henriques JP, Hoebers LP, Råmunddal T, et al, Percutaneous intervention for concurrent chronic total occlusions in patients with STEMI: the EXPLORE trial, 1622–1632, 2016, with permission from Elsevier.

For patients with impaired myocardial contractility due to ischemia, CTO recanalization has the potential to improve myocardial function. Several studies using fractional flow reserve measurement showed that essentially all myocardial territories supplied by a CTO are ischemic, even when extensive collateral circulation is present.7,8 Improvement in left ventricular ejection fraction after CTO recanalization has been demonstrated in patients known to have systolic heart failure, with concomitant improvement in New York Heart Association functional class, angina, and brain natriuretic peptide levels.9 Three-year follow-up after successful CTO PCI suggested a beneficial effect on left ventricular remodeling, as well as a tendency toward improvement in left ventricular ejection fraction.10 Importantly, the improvement of ventricular function depends on the transmural extent of infarction, with no benefit in patients with transmural scarring.

The EXPLORE trial was the first randomized investigation of the effect of CTO PCI on myocardial function after noninfarct-related CTO PCI in the setting of ST-segment elevation myocardial infarction (STEMI).11 Although there was no difference in the ejection fraction in the CTO PCI group as compared with the group without CTO PCI at 4 months (Figure 2), a subanalysis revealed that CTO PCI of the left anterior descending coronary artery was associated with a significant improvement in ejection fraction. Further study is needed to clarify the role of CTO PCI in improving ventricular function in various settings and patients.

Figure 3. A forest plot showing odds ratios for long-term all-cause mortality with successful versus failed CTO PCI. The pooled odds ratio for mortality with successful CTO PCI was 0.52, 95% confidence interval, 0.43–0.63. Reproduced from Christakopoulos GE, Christopoulos G, Carlino M, et al. Meta-analysis of clinical outcomes of patients who underwent percutaneous coronary interventions for chronic total occlusions. Am J Cardiol. 2015;115:1367–1375.

Benefit Three: Improved Long-Term Survival and Improved Tolerance of Subsequent Coronary Events

The presence of a CTO has been independently associated with negative long-term outcomes in patients presenting with both STEMI12,13 and non-STEMI.14 The presence of a CTO is the most common reason for incomplete revascularization, which has in turn been associated with a higher risk for subsequent major adverse cardiovascular events.15-18 Moreover, numerous studies19-21 and meta-analyses4,22,23 have reported better long-term survival after successful versus failed CTO PCI (Figure 3). A potential beneficial effect of CTO recanalization on long-term survival could be related to protection from future coronary events in vessels supplying collateral perfusion to the ischemic CTO territory, improved myocardial contractility, and a reduction in the risk for arrhythmias related to ischemia. However, all studies performed to date are limited by their retrospective, observational nature. Randomized data are needed and are eagerly anticipated: the EURO-CTO trial and DECISION-CTO trial will provide a comparison of CTO PCI with medical therapy, with clinical follow-up at 3 and 5 years, respectively.

Benefit Four: Arrhythmia Prevention and Treatment

Figure 4. Twelve-lead electrocardiograms from a patient with repeated episodes of sustained ventricular tachycardia before (A) and after (B) PCI of a RCA CTO. Panel B shows resolution of the ventricular tachycardia, with sinus rhythm, right bundle branch block, and evidence of prior inferior wall myocardial infarction. Reproduced from Mixon TA. Ventricular tachycardic storm with a chronic total coronary artery occlusion treated with percutaneous coronary intervention. Proc (Bayl Univ Med Cent). 2015;28:196–199.

Another potential benefit of CTO recanalization in selected patients is arrhythmia risk reduction. Nombela-Franco et al showed that in patients who had cardioverter defibrillator implants, the presence of a CTO is associated with the occurrence of ventricular arrhythmias and higher mortality,24 although a subsequent study failed to confirm these findings.25 In patients with refractory arrhythmias due to ischemia, successful CTO recanalization could provide effective treatment (Figure 4).26

Benefit Five: Reduced Long-Term Health Care Costs

The cost of CTO PCI can be significant, given the use of specialized devices and longer mean procedure time as compared with non-CTO PCI.27 However, the potential quality-of-life benefit to severely symptomatic patients is quantifiable. A cost-effectiveness analysis demonstrated that CTO PCI in patients with chronic stable angina resulted in a higher number of quality-adjusted life-years, resulting in a favorable cost-effectiveness ratio as compared with optimal medical therapy.28 Further analysis of the CTO PCI cost-benefit ratio in broader settings will help optimize clinical decision making.

Figure 5. The decision of whether CTO PCI should be performed relies on assessment of the potential benefit, likelihood of technical success (middle panel; which can be assessed using the PROGRESS-CTO score [reprinted from The Lancet, 9, Christopoulos G, Kandzari DE, Yeh RW, et al, Development and validation of a novel scoring system for predicting technical success of chronic total occlusion percutaneous coronary interventions: The PROGRESS CTO {Prospective Global Registry for the Study of Chronic Total Occlusion Intervention} score. 1–9, 2016, with permission from Elsevier]), and procedural risk (right panel; which can be assessed using the PROGRESS-CTO complications score [reproduced from Danek BA, Karatasakis A, Karmpaliotis D, et al. Development and validation of a scoring system for predicting periprocedural complications during percutaneous coronary interventions of chronic total occlusions: the Prospective Global Registry for the Study of Chronic Total Occlusion Intervention {PROGRESS CTO} Complications Score. J Am Heart Assoc. 2016;5]).

WHEN SHOULD CTO PCI BE PERFORMED?

Although there are limited randomized data on CTO PCI versus medical therapy or surgical revascularization, an expanding body of observational data suggests that CTO PCI can offer important benefits to the patient, with an improved quality of life being the most important. A decision about when to proceed with CTO PCI should take into account not only the potential benefits, but also the likelihood of success (which depends on anatomic characteristics and operator experience) and associated risk (Figure 5). Objective assessment of the success and risk likelihoods can be made using dedicated scores, such as the PROGRESS-CTO and PROGRESS-CTO complications scores, which can be calculated using an online tool found at www.progresscto.org/cto-scores.29,30 Providing each patient with an individualized estimate of potential benefits, risks, and alternatives can greatly facilitate clinical decision making, centered on each patient’s unique circumstances and needs.

CONCLUSION

After successful recanalization of the RCA CTO using three drug-eluting stents, this patient had a remarkable improvement in energy and quality of life. He is now able to perform all of his daily activities without symptoms and feels like, “He got his life back.” Although such dramatic results will not be achieved in every patient, in the right patient, CTO PCI can be a terrific tool that can improve long-term clinical outcomes.

1. Carlino M, Magri CJ, Uretsky BF, et al. Treatment of the chronic total occlusion: a call to action for the interventional community. Catheter Cardiovasc Interv. 2015;85:771-778.

2. Brilakis ES. Manual of Coronary Chronic Total Occlusion Interventions. 1st ed. Waltham, MA: Academic Press (Elsevier); 2013.

3. Joyal D, Afilalo J, Rinfret S. Effectiveness of recanalization of chronic total occlusions: a systematic review and meta-analysis. Am Heart J. 2010;160:179-187.

4. Christakopoulos GE, Christopoulos G, Carlino M, et al. Meta-analysis of clinical outcomes of patients who underwent percutaneous coronary interventions for chronic total occlusions. Am J Cardiol. 2015;115:1367-1375.

5. Rossello X, Pujadas S, Serra A, et al. Assessment of inducible myocardial ischemia, quality of life, and functional status after successful percutaneous revascularization in patients with chronic total coronary occlusion. Am J Cardiol. 2016;117:720-726.

6. Bruckel JT, Jaffer FA, O’Brien C, et al. Angina severity, depression, and response to percutaneous revascularization in patients with chronic total occlusion of coronary arteries. J Invasive Cardiol. 2016;28:44-51.

7. Sachdeva R, Agrawal M, Flynn SE, et al. The myocardium supplied by a chronic total occlusion is a persistently ischemic zone. Catheter Cardiovasc Interv. 2014;83:9-16.

8. Werner GS, Surber R, Ferrari M, et al. The functional reserve of collaterals supplying long-term chronic total coronary occlusions in patients without prior myocardial infarction. Eur Heart J. 2006;27:2406-2412.

9. Cardona M, Martin V, Prat-Gonzalez S, et al. Benefits of chronic total coronary occlusion percutaneous intervention in patients with heart failure and reduced ejection fraction: insights from a cardiovascular magnetic resonance study. J Cardiovasc Magn Reson. 2016;18:78.

10. Kirschbaum SW, Baks T, van den Ent M, et al. Evaluation of left ventricular function three years after percutaneous recanalization of chronic total coronary occlusions. Am J Cardiol. 2008;101:179-185.

11. Henriques JP, Hoebers LP, Råmunddal T, et al. Percutaneous intervention for concurrent chronic total occlusions in patients with STEMI: the EXPLORE trial. J Am Coll Cardiol. 2016;68:1622-1632.

12. Claessen BE, van der Schaaf RJ, Verouden NJ, et al. Evaluation of the effect of a concurrent chronic total occlusion on long-term mortality and left ventricular function in patients after primary percutaneous coronary intervention. JACC Cardiovasc Interv. 2009;2:1128-1134.

13. O’Connor SA, Garot P, Sanguineti F, et al. Meta-analysis of the impact on mortality of noninfarct-related artery coronary chronic total occlusion in patients presenting with ST-segment elevation myocardial infarction. Am J Cardiol. 2015;116:8-14.

14. Gierlotka M, Tajstra M, Gasior M, et al. Impact of chronic total occlusion artery on 12-month mortality in patients with non-ST-segment elevation myocardial infarction treated by percutaneous coronary intervention (from the PL-ACS Registry). Int J Cardiol. 2013;168:250-254.

15. Rosner GF, Kirtane AJ, Genereux P, et al. Impact of the presence and extent of incomplete angiographic revascularization after percutaneous coronary intervention in acute coronary syndromes: the Acute Catheterization and Urgent Intervention Triage Strategy (ACUITY) trial. Circulation. 2012;125:2613-2620.

16. Head SJ, Mack MJ, Holmes DR Jr, et al. Incidence, predictors and outcomes of incomplete revascularization after percutaneous coronary intervention and coronary artery bypass grafting: a subgroup analysis of 3-year SYNTAX data. Eur J Cardiothorac Surg. 2012;41:535-541.

17. Hannan EL, Racz M, Holmes DR, et al. Impact of completeness of percutaneous coronary intervention revascularization on long-term outcomes in the stent era. Circulation. 2006;113:2406-2412.

18. Garcia S, Sandoval Y, Roukoz H, et al. Outcomes after complete versus incomplete revascularization of patients with multivessel coronary artery disease: a meta-analysis of 89,883 patients enrolled in randomized clinical trials and observational studies. J Am Coll Cardiol. 2013;62:1421-1431.

19. Mehran R, Claessen BE, Godino C, et al. Long-term outcome of percutaneous coronary intervention for chronic total occlusions. JACC Cardiovasc Interv. 2011;4:952-961.

20. Jones DA, Weerackody R, Rathod K, et al. Successful recanalization of chronic total occlusions is associated with improved long-term survival. JACC Cardiovasc Interv. 2012;5:380-388.

21. George S, Cockburn J, Clayton TC, et al. Long-term follow-up of elective chronic total coronary occlusion angioplasty: analysis from the U.K. Central Cardiac Audit Database. J Am Coll Cardiol. 2014;64:235-243.

22. Khan MF, Wendel CS, Thai HM, Movahed MR. Effects of percutaneous revascularization of chronic total occlusions on clinical outcomes: a meta-analysis comparing successful versus failed percutaneous intervention for chronic total occlusion. Catheter Cardiovasc Interv. 2013;82:95-107.

23. Hoebers LP, Claessen BE, Elias J, et al. Meta-analysis on the impact of percutaneous coronary intervention of chronic total occlusions on left ventricular function and clinical outcome. Int J Cardiol. 2015;187:90-96.

24. Nombela-Franco L, Mitroi CD, Fernández-Lozano I, et al. Ventricular arrhythmias among implantable cardioverter-defibrillator recipients for primary prevention: impact of chronic total coronary occlusion (VACTO primary study). Circ Arrhythm Electrophysiol. 2012;5:147-154.

25. Raja V, Wiegn P, Obel O, et al. Impact of chronic total occlusions and coronary revascularization on all-cause mortality and the incidence of ventricular arrhythmias in patients with ischemic cardiomyopathy. Am J Cardiol. 2015;116:1358-1362.

26. Mixon TA. Ventricular tachycardic storm with a chronic total coronary artery occlusion treated with percutaneous coronary intervention. Proc (Bayl Univ Med Cent). 2015;28:196-199.

27. Karmpaliotis D, Lembo N, Kalynych A, et al. Development of a high-volume, multiple-operator program for percutaneous chronic total coronary occlusion revascularization: procedural, clinical, and cost-utilization outcomes. Catheter Cardiovasc Interv. 2013;82:1-8.

28. Gada H, Whitlow PL, Marwick TH. Establishing the cost-effectiveness of percutaneous coronary intervention for chronic total occlusion in stable angina: a decision-analytic model. Heart. 2012;98:1790-1797.

29. Christopoulos G, Kandzari DE, Yeh RW, et al. Development and validation of a novel scoring system for predicting technical success of chronic total occlusion percutaneous coronary interventions: The PROGRESS CTO (Prospective Global Registry for the Study of Chronic Total Occlusion Intervention) score. JACC Cardiovasc Interv. 2016;9:1-9.

30. Danek BA, Karatasakis A, Karmpaliotis D, et al. Development and validation of a scoring system for predicting periprocedural complications during percutaneous coronary interventions of chronic total occlusions: the Prospective Global Registry for the Study of Chronic Total Occlusion Intervention (PROGRESS CTO) Complications Score. J Am Heart Assoc. 2016;5.

Barbara Anna Danek, MD
University of Texas Southwestern Medical Center
VA North Texas Health Care System
Dallas, Texas
Disclosures: None.

Emmanouil S. Brilakis, MD, PhD
Director
Center for Advanced Coronary Interventions
Minneapolis, Minnesota
Adjunct Professor of Medicine
University of Texas Southwestern Medical Center
Dallas, Texas
esbrilakis@gmail.com
Disclosures: Receives consultant and speaker honoraria from Abbott Vascular, Asahi Intecc Co Ltd., Cordis, a Cardinal Health company, Elsevier, and GE Healthcare; research support from Boston Scientific Corporation, InfraRedx, Inc.; spouse is an employee of Medtronic.